Ada tiga jenis cermin berdasarkan bentuknya yaitu cermin datar, cermin cembung, dan cermin cekung. Ketiga jenis cermin tersebut memiliki karakteristik yang berbeda-beda dalam memantulkan sinar. Sehingga, pemanfaatan dalam kehidupan sehari – hari juga berbeda. Cermin merupakan benda dengan permukaan licin dan mengkilap. Akibatnya, permukaan cermin mampu memantulkan cahaya sehingga dapat membentuk bayangan benda.
Salah satu jenis cermin yang cukup banyak dimanfaatkan dalam kehidupan sehari-hari adalah cermin cekung. Pemanfaatannya dapat ditemui pada lampu mobil, senter, dan lain sebagainya. Bentuk cermin cekung berupa lengkungan yang teratur dengan permukaan cermin melengkung ke dalam. Cahaya yang mengenai cermin cekung akan dipantulkan sehingga dapat terbentuk bayangan. Hasil bayangan benda berbeda dengan hasil cermin datar yang biasanya digunakan untuk melihat penampilan sehari-hari.

Bagaimanakah proses pembentukan bayangan pada cermin cekung dan bagaimana sifat bayangannya? Sobat idschool dapat mencari tahu jawabannya melalui ulasan dibawah.
Table of Contents
- Karakteristik Cermin Cekung
- Jalannya 3 Sinar Istimewa pada Cermin Cekung
- Proses pembentukan bayangan pada cermin cekung
- Rumus Jarak Fokus (f), Jarak Benda (s), dan Jarak Bayangan (s’)
- Rumus Perbesaran Bayangan (M) pada Cermin Cekung
- Contoh Soal dan Pembahasan
Karakteristik Cermin Cekung
Sifat dari cermin cekung adalah mengumpulkan berkas sinar/cahaya (konvergen) dengan letak titik fokus berada di depan cermin. Sehingga nilai fokus pada cermin cekung selalu positif.
Pembagian ruang bagian depan cermin terdiri dari tiga ruang yaitu ruang I, II, dan III. Di mana, ruang I berada antara cermin dan titik fokus, ruang II berada antara titik fokus dan titik pusat kelengkungan cermin. Sedangkan ruang III berada di depan titik kelengkungan cermin sampai titik tak berhingga. Bagian belakang dari cermin cekung semuanya merupakan ruang IV.

Secara ringkas, karakteristik cermin cekung diberikan seperti daftar berikut.
- Konvergen (mengumpulkan cahaya).
- Fokusnya bernilai positif.
- Sifat bayangan tergantung letak benda.
- Jumlah ruang letak benda dan letak bayangan selalu sama dengan 5.
- Jika ruang bayangan > ruang benda maka sifat bayangannya diperbesar
- Jika ruang bayangan < ruang benda maka sifat bayangannya diperkecil.
- Sifat bayangan di ruang 4 adalah maya dan tegak.
- Sifat bayangan selain di ruang 4 adalah nyata dan terbalik.
Baca juga: Cermin Datar
Jalannya 3 Sinar Istimewa pada Cermin Cekung
Sebelum masuk dalam pembahasan proses pembentukan bayangan dan sifat bayangan pada cermin cekung, sobat idschool perlu mempelajari terlebih dahulu jalannya sinar istimewa. Berikut ini adalah cara jalannya sinar atau tiga sinar istimewa tersebut
Pertama:
sinar datang sejajar sumbu utama dipantulkan melalui fokus.

Kedua:
sinar datang melalui fokus dipantulkan sejajar sumbu utama.

Ketiga:
sinar datang melalui titik kelengkungan R akan dipantulkan lagi.

Baca Juga: Bagian – Bagian pada Mikroskop + Cara Menggunakannya
Proses pembentukan bayangan pada cermin cekung
Bayangan benda yang dihasilkan terbentuk dari perpotongan berkas sinar yang mengenai benda dan terpantul oleh cermin. Melalui hasil pada proses pembentukan bayangan pada cermin cekung, nantinya sobat idschool dapat mengetahui sifat bayangan benda yang terbentuk.
Sebagai contoh, terdapat sebuah benda diletakkan di depan cermin cekung. Benda tersebut terletak di ruang II (ruang di antara fokus dan pusat kelengkungan cermin). Bagaimanakah sifat bayangan yang akan terbentuk?
Perhatikan proses pembentukan bayangan seperti pada sesuai kondisi di atas.
Langkah 1:
berkas sinar yang mengenai benda datang sejajar sumbu utama dipantulkan melalui fokus.

Langkah 2:
berkas sinar yang mengenai benda datang melalui fokus dipantulkan sejajar sumbu utama.

Langkah 3:
Bayangan dari sumbu utama ke perpotongan dua sinar.

Dari ketiga langkah di atas diperoleh hasil bayangan benda yang diletakkan pada ruang II memiliki sifat nyata, terbalik, diperbesar.
Sifat bayangan yang dibentuk pada cermin cekung tidak selalu seperti di atas, bayangan benda yang terbentuk bergantung pada letak posisi bendanya. Sobat idschool dapat mencoba mencari tahu sendiri (sebagai latihan) bagaimana bayangan benda yang akan terbentuk untuk letak benda di berbagai ruang. Caranya dengan mengikuti tiga langkah yang telah dilakukan di atas.
Ringkasan sifat bayangan pada cermin cekung yang diletakkan berdasarkan ruang dapat dilihat pada tabel berikut.

Baca Juga: Lensa Cekung (Materi, Rumus, dan Contoh Soal + Pembahasan)
Rumus Jarak Fokus (f), Jarak Benda (s), dan Jarak Bayangan (s’)
Rumus pada cermin cekung memuat persamaan yang menyatakan hubungan jarak fokus, jarak benda, dan jarak bayangan.
Baca Juga: Gelombang Bunyi
Rumus Perbesaran Bayangan (M) pada Cermin Cekung
Hasil bayangan benda dapat lebih besar atau lebih kecil dengan besar perbesaran bayangan sama dengan perbandingan antara jarak bayangan dan jarak benda. Perbesaran bayangan benda juga dapat dihitung dari perbandingaan tinggi bayangan dan tinggi benda.
Nilai perbesaran bayangan disimbolkan dengan M, di mana nilai M sama dengan perbandingan antara jarak bayangan (s’) dan jarak benda (s). Atau nilai M dapat juga dihitung dengan perbandingan tinggi bayangan (h’) dan tinggi benda (h). Persamaan untuk menghitung perbesaran bayangan benda secara matematis dinyatakan melalui rumus perbesaran bayangan berikut.

Keterangan:
- M = perbesaran bayangan
- s = jarak benda terhadap cermin (cm)
- s’ = jarak bayangan terhadap cermin (cm)
- h = tinggi benda (cm)
- h’ = tinggi bayangan (cm)
Baca Juga: Lensa Cembung (Materi, Rumus, dan Contoh Soal + Pembahasan)
Contoh Soal dan Pembahasan
Di sini, sobat idschool akan dilatih untuk menyelesaikan soal terkait permasalahan bahasan di atas. Akan diberikan dua contoh soal tentang yang sudah dilengkapi dengan pembahasannya. Sobat idschool dapat menggunakan soal yang diberikan sebagai latihan dan pembahasan sebagai tolak ukue keberhasilan mengerjakan soal. Selamat Berlatih!
Contoh 1 – Soal Mencari Jarak Bayangan
Jarak sebuah benda ke cermin cekung adalah 5 cm. Jika diketahui cermin tersebut memiliki nilai fokus 3 cm, maka bayangan benda tersebut terletak pada jarak ….
A. 5 cm
B. 7,5 cm
C. 10 cm
D. 12,5 cm
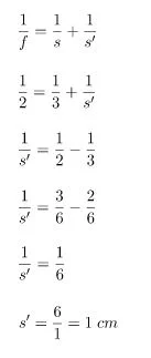
Pembahasan:
Berdasarkan informasi pada soal dapat diperoleh keterangan seperti berikut.
- Jarak benda ke cermin: s = 5 cm
- Jarak fokus: 3 cm
Ditanyakan: Jarak bayangan = s’ … ?

Jadi, bayangan benda tersebut terletak pada jarak 7,5 cm.
Jawaban: B
Contoh 2 – Soal Perbesaran Bayangan
Sebuah benda setinggi 5 cm berada di depan cermin cekung. Jarak fokus cermin tersebut adalah 2 cm dan jarak benda terhadap cermin adalah 3 cm. Tinggi bayangan yang terbentuk adalah ….
A. 10 cm
B. 8 cm
C. 7 cm
D. 5 cm
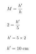
Pembahasan:
Berdasarkan informasi yang diberikan pada soal dapat diperoleh informasi seperti berikut.
- Tinggi benda = h = 5 cm
- Jarak fokus = f = 2 cm
- Jarak benda = s = 3 cm
Mencari jarak bayangan:

Mencari Nilai Perbesaran:

Menentukan tinggi bayangan yang dihasilkan:

Jadi, tinggi bayangan yang terbentuk adalah 10 cm.
Jawaban: A
Sekian pembahasan mengenai cermin cekung yang meliputi bagaimana sifat bayangan benda, rumus-rumus terkait, dan contoh soal beserta pembahasannya. Terimkasih sudah mengunjungi idschool(dot)net, semoga bermanfaat!
Baca Juga: Sifat – Sifat Cahaya
