Sejumlah celah sempit yang sejajar dan terpisah dengan jarak yang sama disebut kisi. Hasil dari kisi difraksi berupa cahaya pita terang dan gelap dengan suatu pola tertentu. Jarak pita terang dan gelap pada kisi difraksi berturut-turut dapat ditentukan melalui rumus d · sin θ = mλ dan d · sin θ = (m ‒ ½)λ. Di mana sin θ sama dengan perbandingan antara jarak pita terang dan gelap pada kisi difraksi (p) dengan jarak kisi ke layar L.
Pola pita terang dan gelap pada kisi difraksi memiliki jarak (p) yang dapat ditentukan jika diketahui panjang gelombang (λ), lebar celah kisi (d), serta jarak kisi ke layar penangkap pita terang/gelap (L). Bagaimana cara menentukan jarak pita terang dan gelap pada kisi difraksi? Sobat idschool dapat mencari tahu jawabannya melalui ulasan berikut.
Table of Contents
- Gambaran Peristiwa pada Kisi Difraksi
- Rumus Jarak Pita Terang dan Gelap pada Kisi Difraksi
- Contoh Soal dan Pembahasan
Gambaran Peristiwa pada Kisi Difraksi
Seberkas sinar yang melalui celah kisi akan mengalami difraksi yaitu penyebaran/pembelokan gelombang saat melintasi sebuah celah. Hasil dari sinar yang melewati kisi adalah pita terang dan gelap. Pola pita terang dan gelap yang terbentuk pada kisi difraksi memiliki suatu pola dengan orde atau susunan cahaya gelap dan terang yang saling berselang. Orde pola cahaya/pita terang dan gelap pada kisi difraksi umumnya mencapai hingga ribuan.
Contoh bagaimana jalan seberkas sinar yang melewati celah kisi sesuai dengan gambar berikut.

Baca Juga: Rumus Panjang Gelombang, Periode, dan Frekuensi Gelombang Bunyi
Rumus Jarak Pita Terang dan Gelap pada Kisi Difraksi
Melalui rumus jarak pita terang dan gelap pada kisi difraksi, sobat idschool dapat mengetahui beberapa informasi/hal. Beberapa informasi yang dapat diperoleh melalui rumus jarak pita terang dan gelap pada kisi difraksi antara lain panjang gelombang, jarak antar celah, dan lebar antar celah. Selain itu juga dapat digunakan untuk menentukan jarak pita terang dan gelap pada kisi difraksi.
Namun sebagai dasarnya, percobaan pada kisi difraksi digunakan untuk panjang gelombang cahaya melalui sebuah perhitungan.
Rumus jarak pita terang dan gelap pada kisi difraksi dapat diperoleh seperti pada dua bentuk persamaan berikut.

Baca Juga: Pola Gelap/Terang pada Interferensi Cahaya oleh Lapisan Tipis
Contoh Soal dan Pembahasan
Beberapa contoh soal di bawah dapat sobat idschool gunakan untuk menambah pemahaman bahasan di atas. Setiap contoh soal yang diberikan dilengkapi dengan pembahasannya. Sobat idschool dapat menggunakan pembahasan tersebut sebagai tolak ukur keberhasilan mengerjakan soal. Selamat Berlatih!
Contoh 1 – Jarak Pita Terang dan Gelap pada Kisi Difraksi
Seberkas cahaya jatuh tegak lurus pada kisi dengan konstanta kisi 5.000 garis/cm. Jika panjang gelombang cahaya 480 nm dan terjadi pola garis gelap dan terang pada layar sejauh 1 m maka jarak dua garis terang berdekatan adalah …. (1 nm = 1 × 10‒9 m)
A. 14 cm
B. 24 cm
C. 48 cm
D. 56 cm
E. 72 cm
Pembahasan:
Berdasarkan keterangan yang diberikan dapat diperoleh beberapa informasi seperti berikut.
- Konstanta kisi: N = 5.000 gram/cm
d = 1/N = 1/5.000 = 0,2 × 10‒3 cm
d = 0,2 × 10‒3 × 10‒2 m = 2×10‒6 m - Panjang gelombang: λ = 480 nm
λ = 480 × 10‒9 m = 4,8 × 10‒7 m - Jarak kisi ke layar: L = 1 m
Jarak dua garis terang berdekatan sama dengan jarak terang orde pertama (n = 1) dari terang pusat. Sehingga, jarak dua garis terang berdekatan dapat ditentukan seperti pada cara penyelesaian berikut.

Jadi, jarak dua garis terang berdekatan sama dengan 24 cm.
Jawaban: B
Contoh 2 – Jarak Pita Terang dan Gelap pada Kisi Difraksi
Seberkas cahaya dilewatkan pada kisi difraksi dengan 200 celah/cm akan dihasilkan garis pita terang kedua pada layar berjarak 6 mm dari terang pusat. Jika kisi difraksi kemudian diganti dengan 500 celah/cm maka jarak pita terang ke 6 dari terang pusat pada layar adalah ….
A. 6 mm
B. 12 mm
C. 16 mm
D. 24 mm
E. 45 mm
Pembahasan:
Berdasarkan keterangan yang diberikan pada soal dapat diperoleh beberapa informasi seperti berikut.
- Kisi difraksi pertama: N1 = 200 celah/cm
d1 = 1/N = 1/200 = 0,5×10‒2 cm
d1 = 0,5×10‒2 × 10 mm = 5 × 10‒2 mm - Jarak pita terang kedua (n = 2) dari terang pusat: p1 = 6 mm
- Kisi difraksi pertama: N2 = 500 celah/cm
d2 = 1/N = 1/500 = 0,2 × 10‒2 cm
d1 = 0,2 × 10‒2 × 10 mm = 2 × 10‒2 mm - Tanya: karak pita terang keenam (n = 6) dari terang pusat?
Menentukan jarak terang ke 6 (n = 6) dari terang pusat:

Jadi, jarak pita terang ke 6 dari terang pusat pada layar adalah 45 mm.
Jawaban: E
Contoh 3 – Jarak Pita Terang dan Gelap pada Kisi Difraksi
Untuk mengukur panjang gelombang sinar merah dilakukan percobaan sebagai berikut: sinar kuning (λ = 580 nm) dijatuhkan tegak lurus pada sebuah kisi. Pola difraksi diterima di layar yang jaraknya 40 cm dari kisi. Garis terang orde pertama berjarak 0,58 mm dari garis terang pusat. Sesudah itu sinar merah dijatuhkan tegak lurus pada kisi. Ternyata, garis terang orde pertama berjarak 0,65 mm dari terang pusat. Panjang gelombang sinar merah tersebut adalah ….
A. 620 nm
B. 630 nm
C. 640 nm
D. 650 nm
E. 660 nm
Pembahasan:
Berdasarkan keterangan yang diberikan pada soal dapat diperoleh beberapa informasi seperti berikut.
- Panjang gelombang sinar kuning: λ = 580 nm
- Percobaan dengan sinar kuning:
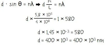
Jarak terang orde pertama (n = 1) dari terdang pusat: pk = 0,58 mm
pk = 0,58 × 106 nm = 5,8 × 105 nm - Jarak celah kisi ke layar: L = 40 cm = 400 mm = 4 × 108 nm
- Percobaan dengan sinar merah:
Jarak terang orde pertama (n = 1) dari terdang pusat: pm = 0,65 mm
pm = 0,65 × 106 nm = 6,5 × 105 nm
Langkah pertama adalah menentukan celah kisi (d) yang digunakan seperti yang ditunjukkan pada cara berikut.

Selanjuntnya, sobatb idschool dapat menghitung panjang gelombang sinar merah seperti langkah penyelesaian di bawah.

Jadi, panjang gelombang sinar merah tersebut adalah 650 nm.
Jawaban: D
Demikianlah tadi ulasan rumus jarak pita terang dan gelap pada kisi difraksi yang berturut-turut sesuai dengan persamaan d · sin θ = nλ dan d · sin θ = (n ‒ ½)λ . Terima kasih sudah mengunjungi idschool(dot)net, semoga bermanfaat!
Baca Juga: Persamaan Pola Terang dan Gelap pada Interferensi Cahaya Celah Ganda Young
