Perkalian vektor dibedakan menjadi tiga jenis yaitu perkalian vektor dengan skalar, perkalian silang (cross product), dan perkalian titik vektor (dot product). Meskipun ketiganya merupakan perkalian, namun ketiga perkalian tersebut memiliki aturan pengerjaan yang berbeda. Hasil perkalian vektor dengan skalar dan perkalian silang vektor adalah sebuah vektor. Sedangkan hasil perkalian titik untuk kedua vektor menghasilkan sebuah skalar.
Sebuah vektor yang dikalikan skalar k dapat menjadi vektor yang lebih panjang (k > 1) atau lebih pendek (0 < k < 1). Vektor yang dikalikan dengan skalar k < 0 akan memiliki arah yang berkbalikan. Diketahui vektor a dan vektor b yang dinyatakan dalam suatu komponen vektor satuan. Hasil pekalian silang vektor (cross product vector) kedua vektor adalah sebuah vektor c. Namun, hasil perkalian titik untuk vektor yang sama akan menghasilkan sebuah skalar.
Bagaimana cara melakukan perkalian titik vektor a dan vektor b sehingga dapat menghasilkan sebuah skalar? Sobat idschool dapat mencari tahu lebih lanjut cara melakukan perkalian titik vektor melalui ulasan di bawah.
Table of Contents
Cara Melakukan Perkalian Titik Vektor
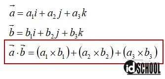
Hasil perkalian titik untuk vektor a dan vektor b sama dengan jumlah hasil kali bilangan vektor satuan yang sejenis dari kedua vektor. Perkalian bilangan untuk vektor satuan yang berlainan jenis akan menghasilkan nilai nol jadi dapat diabaikan. Sebagai contoh, perkalian titik untuk vektor satuan i dan vektor satuan i akan menghasilkan nilai 1 (satu). Begitu juga pada perkalian vektor satuan sejenis lainnya juga menghasilkan nilai 1.
Bagaimana untuk perkalian vektor satuan yang tidak sama, misalnya vektor satuan i dan vektor satuan j. Perkalian titik vektor satuan i dan vektor satuan j akan menghasilkan nilai 0 (nol). Begitu juga untuk perkalian titik untuk vektor yang berbeda jenis lainnya juga akan menghasilkan nilai nol. Sehingga, perkalian titik untuk dua vektor pada vektor satuan yang berbeda dapat diabaikan.
Persamaan umum untuk perkalian titik vektor:

Contoh, diketahui komponen vektor satuan untuk vektor a dan vektor b sepeti berikut.
- vektor a = 3i + 2k
- vektor b = i + 2j
Berdasarkan komponen vektor satuan yang diberikan dapat diperoleh nilai-nilai seperti berikut.
- a1 = 3, a2 = 0, dan a3 = 2
- b1 = 1, a2 = 2, dan a3 = 0
Maka, hasil perkalian titik untuk vektor a dan vektor b adalah sebagai berikut.
a · b = 3 × 1 + 0 × 2 + 2 × 0
= 3 + 0 + 0
= 3
Jadi, hasil dari perkalian titik pada vektor a = 3i + 2k dan vektor b = i + 2j adalah sebuah skalar sama dengan 3.
Baca Juga: Perkalian Silang Vektor (Cross Product Vector) – a × b
Contoh Soal dan Pembahasan
Sobat idschool dapat mengukur seberapa jauh serta menambah pemahaman materi di atas melalui beberapa contoh soal perkalian titik pada vektor di bawah. Contoh soal yang diberikan telah dilengkapi dengan pembahasan yang dapat digunakan sebagai tolak ukur keberhasilan mengerjakan soal. Selamat berlatih!
Contoh 1 – Soal Perkalian Skalar Vektor
Diketahui vektor a = 5i + 3j – 8k dan vektor b = 3i + 4j – 2k. Hasil kali skalar vektor a · b adalah ….
A. 11
B. 27
C. 33
D. 43
E. 53
Pembahasan:
Menghitung hasil kali skalar vektor a · b:
a · b = 5 × 3 + 3 × 4 + (–8) × (–2)
= 15 + 12 + 16
= 43
Jawaban: D
Baca Juga: Cara Menghitung Resultan Vektor 3 Arah Secara Analitis
Contoh 2 – Soal Perkalian Titik Vektor
Diketahui vektor a = (7, 3, 4) dan vektor b = (x, 8, 1). Jika kedua vektor tersebut membentuk sudut 90° maka nilai x adalah ….
A. –4
B. –2
C. 0
D. 2
E. 4
Pembahasan:
Diketahui bahwa kedua vektor membentuk sudut 90o, jadi kedua vektor tersebut saling tegak lurus. Dua buah vektor yang saling tegak lurus memenuhi persamaan a · b = 0.
Mencari nilai x:
a · b = 0
(7, 3, 4) · (x, 8, 1) = 0
7 · x + 3 · 8 + 4 · 1 = 0
7x = – 24 – 4
x = –28/7
x = –4
Jadi, nilai x adalah –4
Jawaban: A
Demikianlah tadi ulasan materi perkalian titik vektor atau vector dot product beserta dengan contoh soal dan pembahasannya. Terimakasih sudah mengunjungi idschool(dot)net, semoga bermanfaat!
Baca Juga: Cara Menghitung Panjang Vektor AB
