Salah satu cara untuk mengetahui besar perubahan entalpi pada suatu reaksi melalui menentukan ΔH dengan kalorimeter. Praktikum kalorimeter adalah suatu percobaan yang bertujuan untuk mengukur jumlah kalor yang diserap atau dilepas selama reaksi. Proses pengukuran jumlah kalor yang dilepas atau diserap dalam sebuah percobaan disebut dengan kalorimetri.
Proses dalam kalorimeter merupakan proses adiabatik yaitu tidak ada energi yang lepas atau masuk dari luar. Diketahui bahwa kalorimeter memiliki ketelitian pengukuran kalor yang tinggi.
Pengukuran ΔH selalu dilakukan pada tekanan tetap, sehingga reaksi yang berlangsung dalam kalorimeter tidak boleh mempengaruhi tekanan gas dalam ruang kalorimeter. Prinsip kerja kalorimeter menggunakan wadah tertutup yang memuat ruang sebagai tempat berlangsungnya reaksi, pengaduk, dan termometer.
Kalorimeter adalah sebuah alat yang digunakan untuk mengukur kalor/panas pada suatu perubahan atau reaksi kimia. Gambaran kalorimeter sederhana beserta keteranggan terdapat seperti ilustrasi berikut.

Baca Juga: Hubungan Rumus q reaksi dan Perubahan Entalpi (ΔH) Reaksi
Bagaimana cara melakukan praktikum kalorimeter untuk menentukan perubahan entalpi (ΔH)? Apa saja alat dan bahan yang dibutuhkan untuk melakukan praktikum kalorimeter? Sobat idshcool dapat mencari tahu jawabannya melalui ulasan di bawah.
Tujuan dan Alat/Bahan untuk Praktikum Kalorimeter
Tujuan percobaan yang dilakukan pada praktikum kalorimeter adalah untuk menentukan besarnya kalor pada reaksi penetralan. Pada praktikum kalorimeter yang dilakukan di bawah menggunakan NaOH (basa kuat) dan HCl (asam kuat). Dalam praktikum kalorimeter untuk menentukan perubahan entalpi dengan kalorimeter membutuhkan beberapa alat dan bahan seperti berikut.
Tujuan percobaan:
Menentukan besarnya kalor penetralan NaOH oleh HCl
Alat:
1) Gelas kimia 100 mL
2) Kalorimeter
3) Termometer
4) Pengaduk
4) Pembakar spritus
Bahan:
1) Larutan HCl 1 M
2) Larutan NaOH 1 M
3) Akuades
Catatan:
1) massa jenis air: ρair = 1 gr/mL
2) kalor jenis air: cair = 4,2 J/groC
3) Massa jenis larutan: ρlarutan = 1,03 gr/mL
4) Kalor jenis larutan: clarutan: 3,69 J/groC
Baca Juga: Penyetaraan Reaksi Kimia dan Kegunannya
Langkah-Langkah Kerja
Percobaan untuk menentukan ΔH pada praktikum kalorimeter meliputi dua cara kerja. Pertama adalah cara kerja untuk menentukan tetapan kalorimeter (C). Kedua adalah cara kerja untuk menentukan perubahan entalpi ΔH reaksi.
Cara kerja pada penentuan tetapan kalorimeter:
- Masukkan 25 mL akuades ke dalam kalorimeter dan catat suhunya (T1)
- Panaskan 25 mL akuades yang lain sampai suhunya naik menjadi 40oC (catat suhunya sebagai T2)
- Masukkan ke dalam kalorimeter
- Aduk larutan dalam kalorimeter sampai suhu konstan dan catat suhunya sebagai T3
Cara kerja untuk penentuan perubahan entalpi (ΔH) reaksi:
- Masukkan 50 mL larutan HCl 1 M ke dalam kalorimeter dan catat suhunya sebagai T1
- Ambil 50 mL larutan NaOH 1 M dan atur sehingga suhunya (T2) sama dengan suhu larutan HCl 1 M dalam kalorimeter
- Campurkan kedua larutan tersebut dalam kalorimeter, aduk sampai suhu konstan
- Catat suhu konstan dari campuran tersebut sebagai T3
Baca Juga: Hukum Hess dan Cara Menghitung Perubahan Entalpo pada Diagram Tingkat Energi
Hasil Pengamatan dan Pembahasan Praktikum Menentukan ΔH dengan Kalorimeter
Hasil pengamatan praktikum kalorimeter untuk menentukan ΔH dengan sebuah alat yang disebut kalorimeter ditunjukkan seperti tabel berikut.

Dari hasil percobaan yang diperoleh di atas, kemudian akan digunakan untuk menentukan tetapan kalorimeter (C) dan perubahan entalpi (ΔH) reaksi.
Cara Menghitung Tetapan Kalori Meter (C)
Langkah-langkah menghitung kalorimeter C dilakukan seperti beberapa perhitungan di bawah.
- Kalor yang diserap air dingin (q1):
q1 = mair dingin × cair × ΔT1
= (1 gr/mL × 25 mL ) × 4,2 × 5
= 525 J
- Kalor yang diserap air panas (q2):
q2 = mair panas × cair × ΔT2
= (1 gr/mL × 25 mL ) × 4,2 × 7
= 735 J
- Kalor yang diserap kalorimeter (q3):
q3 = q2 – q1
= 735 J – 525 J
= 210 J
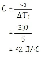
Menghitung tetapan kalorimeter (C):

Cara Menghitung Kalor Reaksi (q reaksi) dan Perubahan Entalpi (ΔH)
Langkah-langkah menghitung kalor reaksi dilakukan seperti beberapa perhitungan di bawah.
- Kalor yang diserap larutan (q4):
q4 = mlarutan × clarutan × ΔT
q4 = mlarutan × clarutan × [(ΔT1 + ΔT2) : 2]
= (1,03 gr/mL × 100 mL ) × 3,69 × [(5 + 5) : 2]
= 1.900,35 J
- Kalor yang dihasilkan kalorimeter (q5):
q5 = C × ΔT1
= 42 J/oC × 5oC
= 210 J
- Kalor yang dihasilkan sistem (q6):
q6 = –(q4 + q5)
= –(1.900,35 J + 210 J)
= –2.110,35 J
- Menghitung mol larutan:

Kalor yang dihasilkan 1 mol larutan (ΔH):

Dari hasil perhitungan diperoleh besar perubahan entalpi pada reaksi penetralan NaOH dan HCl sama dengan ΔH = –42,207 kJ. Tanda negatif menunjukkan bahwa reaksi melepaskan kalor (reaksi eksoterm) yang ditandai dengan adanya kenaikan suhu.
Demikianlah tadi ulasan laporan praktikum kalorimeter yang dapat digunakan untuk mengetahui besar perubahan entalpi (ΔH). Terima kasih sudah mengunjungi idschool(dot)net, semoga bermanfaat!
Baca Juga: [Praktikum Kimia] Hukum Kekekalan Massa
