Ayunan balistik merupakan seperangkat alat yang biasanya digunakan untuk mengukur benda yang bergerak dengan sangat cepat, misalnya peluru. Cara menghitung kecepatan peluru pada ayunan balistik dilakukan sesuai dengan hukum kekekalan momentum. Bentuk ayunan balok atau ayinan balistik berupa sebuah perangkat yang terdiri dari sebuah balok yang diikat dan digantung dengan sebuah tali.
Sebuah ayunan balistik mula-mula dalam kondisi siam (kecepatan balok sama dengan nol, vb = 0). Sebuah peluru ditembakkan dengan kecepatan vp mengenai balok ke arah ayunan sehingga mengenainya dan bersarang di dalam balok. Balok yang awalnya diam akan bergerak dengan kecepatan vb‘ setelah peluru mengenai balok tersebut. Pada kondisi ini, kecepatan peluru setelah tumbukan (vp’) sama dengan kecepatan balok setelah tumbukan (vb’) yaitu v’.

Besar v’ dapat dihitung melalui persamaan energi kinetik dan potensial pada dua posisi balok pada ayunan yang berbeda. Selanjutnya cara menghitung kecepatan peluru dengan ayunan balistik dapat memanfaatkan persamaan dalam hukum kekekalan momentum.
Bagaimana rumus kecepatan peluru dan balok setelah tumbukan? Bagaimana cara menghitung kecepatan peluru sebelum mengenai balok? Sobat idschool dapat mencari tahu jawabannya melalui ulasan di bawah.
Table of Contents
Baca Juga: Pengertian Momentum dan Impuls, serta hubungan keduanya
Rumus Kecepatan Peluru
Ayunan balistik dan peluru yang mengenai dan bersarang di dalam balok merupakan contoh dari tumbukan tidak lenting sama sekali (koefisien restitusi e = 0). Di mana massa balok dan massa peluru setelah tumbuhan bersatu dan bergerak dengan kecepatan yang sama. Pada peristiwa ini terjadi energi kinetik yang hilang sehingga hukum kekekalan energi kinetik tidak tidak berlaku. Persamaan yang berlaku pada ayunan balistik yang ditumbuk peluru adalah hukum kekekalan momentum.
Sebuah balok diam berada pada posisi A sehingga kecepatan balok sama dengan nol (vb = 0). Setelah peluru mengenai balok, peluru dan balok bersatu dan bergerak dengan kecepatan v’ yang sama. Ayunan balistik berayun sehingga berada pada posisi B dari posisi awalnya (posisi A) sehingga terdapat perbedaan ketinggian sebesar h. Balok bergerak dari posisi A ke posisi B memenuhi persamaan EkA = EpB.
Berdasarkan persamaan EkA = EpB dapat diketahui berapa besar kecepatan yang dialami balok setelah tumbukan. Kecepatan balok dari posisi A ke posisi B diberikan seperti persamaan di bawah.

Substitusi persamaan kecepatan balok setelah tumbukan vb’= vp’ = v’ pada persamaan hukum kekekalan momentum akan menghasilkan persamaan kecepatan peluru. Persamaan yang diperoleh dapat digunakan untuk menghitung kecepatan peluru sebelum bertumbukan dengan ayunan balistik.

Keterangan:
vp = kecepatan peluru sebelum tumbukan (m/s)
mp = massa peluru (kg)
mb = massa benda/balok (kg)
g = percepatan gravitasi (m/s2)
h = ketinggian balok setelah tumbukan (m)
Sebagai contoh, perhatikan penyelesaian masalah cara menghitung kecepatan ayunan balistik setelah ditumbuk peluru berikut.
Soal:
Balok kayu tergantung oleh seutas tali yang panjangnya ℓ = 40 cm. Balok tersebut ditembak mendatar dengan sebutir peluru yang bermassa 20 gr dan kecepatan tertentu. Massa balok yang tergantung tali adalah 9,98 kg dan percepatan gravitasi 10 m/s2. Peluru mengenai balok sehingga balok berayun dan memiliki ketinggian 0,2 m dari posisi awalnya. Berapakah kecepatan peluru sebelum bertumbukan dengan balok?
Jawab:
Dari keterangan yang terdapat pada soal dapat diperoleh beberapa besaran dan nilainya seperti berikut.
- Panjang tali: ℓ = 40 cm
- Massa peluru: mp = 20 gr = 0,02 kg
- Perbedaan ketinggian balok: h = 0,2 m
- Massa balok: mb = 9,98 kg
- Percepatan gravitasi: g = 10 m/s2
Menghitung kecepatan peluru sebelum tumbukan (vp):

Jadi, kecepatan peluru sebelum bertumbukan dengan balok adalah 1.000 m/s.
Baca Juga: Hukum Kekekalan Momentum
Contoh Soal Kecepatan Ayunan Balistik
Sobat idschool dapat mengukur pemahaman bahasan di atas dengan cara mengerjakan soal-soal. Keberhasilan mengerjakan soal adalah salah satu ukuran bahwa sobat idschool sudah memahami suatu bahasan materi.
Beberapa contoh soal di bawah dapat sobat idschool gunakan untuk mengukur pemahaman bahasan di atas. Setiap soal dilengkapi pembahasan yang dapat sobat idschool gunakan sebagai tolak ukur keberhasilan mengerjakan soal. Selamat Berlatih!
Contoh 1 – Soal Menghitung Kecepatan Peluru dengan Ayunan Balistik
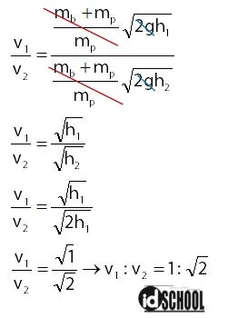
Sebuah ayunan balok identik ditembak dengan peluru masing-masing kecepatan seperti gambar berikut.

Peluru bersarang di dalam balok menyebabkan balok berayun. Ketinggian h2 = 2h1 perbandingan kecepatan peluru 1 (v1) dan peluru 2 (v2) adalah ….
A. 1 : √2
B. 1 : 2
C. 1 : 4
D. √2 : 1
E. 2 : 1
Pembahasan:
Berdasarkan keterangan yang diberikan pada soal diberikan informasi-informasi seperti berikut.
- Peluru dan ayunan balok yang digunakan identik
- h2 = 2h1
Perbandingan kecepatan peluru 1 dan peluru 2:

Jadi, perndingan kecepatan peluru 1 (v1) dan peluru 2 (v2) adalah 1 : √2.
Jawaban: A
Contoh 2 – Soal Ayunan Balistik

Pembahasan:
Berdasarkan keterangan pada soal dapat diperoleh informasi-informasi sepeti berikut.
- Panjang tali: ℓ = 40 cm = 0,40 m
- Massa peluru: mp = 20 gram = 0,02 kg
- Kecepatan peluru sebelum tumbukan: v
- Massa balok: mb = 9,98 kg
- Percepatan gravitasi: g 10 m/s
- Perubahan ketinggian balok setelah ditumbuk peluru: h 10 cm
Menghitung kecepatan peluru sebelum tumbukan:

Jadi, kecepatan peluru sebelum tumbukan adalah 5.000√2 m/s.
Jawaban: B
Baca Juga: Energi Potensial dan Energi Kinetik
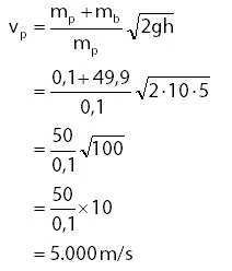
Contoh 3 – Soal Ayunan Balistik
Sebuah balok dengan massa 49,9 kg digantung dengan seutas tali yang penjangnya 150 cm. Sebuah peluru (mp = 0,1 kg) ditembakkan pada balok. Setelah peluru bersarang di dalam balok, balok naik setinggi 5 cm. Kecepatan peluru saat sebelum terjadi tumbukan adalah ….
A. 0,5 m/s
B. 5 m/s
C. 50 m/s
D. 500 m/s
E. 5.000 m/s
Pembahasan:
Berdasdarkan keterangan yang diberikan pada soal dapat diperoleh informasi-informasi seperti berikut.
- Massa balok: mb = 49,9 kg
- Panjag tali: ℓ = 150 cm
- Massa peluru: mp = 0,1 kg
- Ketinggian balok setelah ditembak peluru: h = 5 cm
Menghitung kecepatan peluru saat sebelum terjadi tumbukan,

Jadi, kecepatan peluru saat sebelum terjadi tumbukan adalah 5.000 m/s.
Jawaban: E
Demikianlah tadi ulasan cara menghitung kecepatan peluru pada ayunan balistik dengan memanfaatkan hukum kekelan momentum dan energi potensial. Terima kasih sudah mengunjungi idschool(dot)net, semoga bermanfaat.
Baca Juga: Tiga Jenis Lenting/Elastisitas pada Benda Bertumbukan
