Aktivitas radiokatif merupakan aktivitas yang terjadi pada atom-atom unsur radioaktif dengan inti yang belum stabil. Kemampuan inti atom yang tidak stabil untuk memancarkan radiasi menjadi inti yang stabil disebut dengan radioaktivitas. Waktu yang diperlukan sehingga jumlah inti radioaktif berkurang menjadi setengahnya disebut waktu paruh (T½). Rumus waktu paruh menyatakan persamaan antara jumlah atom sisa/akhir dan aktivitas radioaktif.
Inti atom memiliki inti atom yang terdiri dari proton dan neutron yang disebut dengan nuklida. Beberapa unsur radioaktif memiliki atom dengan nuklida yang stabil, beberapa yang lainnya tidak stabil. Pada inti atom yang tidak stabil mengalami proses peluruhan dan memancarkan energi agar mencapai kondisi yang stabil. Caranya adalah dengan memancarkan energi dan radiasi yang dapat berupa sinar α (alfa), β (beta), dan γ (gamma) dengan sifat-sifat berbeda berikut.

Baca Juga: Hukum Kekelan Momentum
Bagaimana bentuk rumus waktu paruh peluruhan aktivitas radioaktif? Bagaimana cara menghitung waktu paruh? Sobat idschool dapat mencari tahu jawbaannya melalui ulasan di bawah.
Table of Contents
Rumus Waktu Paruh
Waktu paruh adalah lama waktu rata-rata yang diperlukan suatu unsur radioaktif untuk meluruhkan separuh dari jumlah mulanya. Separuh dari jumlah unsur radioaktif yang mengalami peluruhan (radioactive decay) berubah menjadi unsur lain karena adanya peluruhan inti atom.
Antara jumlah zat yang tersisa dan jumlah zat mula-mula dipengaruhi oleh konstanta laju peluruhan. Nilai konstanta laju peluruhan dipengaruhi oleh waktu paruh. Persamaan atau rumus waktu paruh menyatakan hubungan antara jumlah zat awal/mula-mula (No), jumlah zat yang tersisa (Nt), lamanya waktu peluruhan (t).
Berikut ini adalah rumus paruh waktu peluruhan aktivitas radioaktif.

Baca Juga: Gerak Benda Jatuh ke Bawah dan Vertikal ke Atas
Rumus Konstanta (λ) dan Aktivitas (A) Peluruhan
Peluruhan adalah perubahan spontan dari satu nuklida induk menjadi satu nuklida anak yang bersifat radioaktif. Caranya adalah dengan memancarkan sinar/partikel radioaktif yang tunduk pada kaidah-kaidah statistik.
Perbandingan pancaran dalam suatu waktu disebut konstanta peluruhan. Simbol untuk konstantan peluruhan adalah λ yang dibaca lambda. Rumus konstanta peluruhan dinyatakan dalam persamaan λ = ln 2 : T½ = 0,693 : T½ di mana T½ adalah waktu paruh unsur radioaktif tersebut.
Aktivitas peluruhan/radiasi dari sejumlah zat radioaktif adalah banyaknya peluruhan inti atom tiap detik. Aktivitas peluruhan dari sejumlah zat radioaktif berbanding lurus dengan jumlah inti yang belum meluruh (Nt) dan konstanta peluruhan (λ).
Persamaan aktivitas radioaktif dinyatakan melalui persamaan At = λ ⋅ Nt. Jika A0 adalah aktivitas saat t = 0 maka aktivitas pada saat t adalah At = A0 ⋅ e–λt atau At = A0 ⋅ (1/2)t/T½. Rumus konstanta laju peluruhan dan aktivitas peluruhan terdapat pada persamaan berikut.

Baca Juga: 5 Dasar Hukum Kimia
Contoh Soal dan Pembahasan
Beberapa contoh soal di bawah dapat sobat idshcool gunakan untuk menambah pembahasan bahasan di atas. Setiap contoh soal yang diberikan dilengkapi dengan pembahasan bagaimana penggunaan rumus waktu paruh. Sobat idschool dapat menggunakan pembahasan tersebut sebagai tolak ukur keberhasilan mengerjakan soal.
Contoh 1 – Soal Peluruhan Aktivitas Radioaktif
Suatu zat radioaktif meluruh dengan waktu paro 20 hari. Agar zat radioaktif hanya tinggal 1/8 dari jumlah asalnya maka diperlukan waktu selama ….
A. 27,5 hari
B. 30 hari
C. 40 hari
D. 60 hari
E. 160 hari
Pembahasan:
Berdasarkan keterangan yang diberikan pada soal dapat diperoleh informasi-informasi seperti berikut.
- Waktu paruh: T½ = 20 hari
- Massa radioaktif yang tersisa: Nt = 1/8 No
Menghitung waktu yang dibutuhkan agar zat radioaktif hanya tinggal 1/8 dari jumlah asalnya:

Jadi, waktu yang diperlukan agar zat radioaktif hanya tinggal 1/8 saja dari jumlah asalnya adalah 60 hari.
Jawaban: D
Contoh 2 – Soal Penggunaan Rumus Waktu Paruh
Suatu unsur radioaktif memiliki massa awal sebesar 1,28 mg. Jika 48 hari kemudian massanya berubah menjadi 0,32 mg maka waktu paruh unsur radioaktif tersebut adalah ….
A. 36 hari
B. 24 hari
C. 18 hari
D. 12 hari
E. 9 hari
Pembahasan:
Berdasarkan keterangan yang diberikan pada soal dapat diperoleh informasi-informasi seperti berikut.
- massa awal: m0 = 1,28 mg
- Waktu peluruhan: t = 48 hari
- massa akhir/sisa: mt = 0,32 mg
Cara menghitung waktu paruh unsur radioaktif dapat dilihat seperti proses perhitungan di bawah.

Jadi, waktu paruh unsur radioaktif tersebut adalah 24 hari.
Jawaban: B
Baca Juga: Hubungan Periode Revolusi Planet dalam Hukum Kepler
Contoh 3 – Soal Penggunaan Rumus Waktu Paruh dan Konstanta Peluruhan

Pembahasan:
Pada grafik yang diberikan pada soal dapat diperoleh informasi bahwa massa (m) unsur radioaktif berkurang setiap 10 hari. Pada kondisi awal terdapat 100 gram unsur menjadi 50 gram saat waktu t = 10 hari. Selanjutnya, berkurang menjadi saperuhnya lagi setelah t = 20 hari. Sehingga dalam dapat diketahui bahwa waktu paruh zat radioaktif tersebut adalah T½ = 10 hari.
Menghitung konstanta peluruhan (λ) dari unsur radio aktif tersebut:
λ = 0,693/T½
λ = 0,693/10 = 0,0693 per hari
Jadi, besar konstanta peluruhan zat radioaktif tersebut adalah 0,0693 per hari.
Jawaban: C
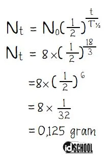
Contoh 4 – Soal Penggunaan Rumus Waktu Paruh
Perhatikan grafik peluruhan berikut!

Setelah zat radioaktif meluruh selama 18 menit maka zat radioaktif yang tersisa adalah ….
A. 0,125 gram
B. 0,250 gram
C. 0,500 gram
D. 0,75 gram
E. 1,000 gram
Pembahasan:
Berdasarkan keterangan yang diberikan pada soal dapat diperoleh informasi-informasi bahwa jumlah zat awal (No) adalah 8 gram dan setelah 6 menit jumlah zat (Nt) menjadi 2 gram.
Dari keterangan tersebut dapat menggunakan rumus waktu paruh (T½) seperti yang dilakukan pada perhitungan berikut.

Dari perhitungan tersebut dapat diperoleh bahwa waktu paruh sama dengan 3 menit. Selanjutnya, zat radioaktif yang tersisa setelah meluruh selama 18 menit dapat diperoleh melalui perhitungan di bawah.

Jadi, zat radioaktif yang tersisa setelah zat radioaktif meluruh selama 18 menit adalah 0,125 gram.
Jawaban: A
Demikianlah tadi ulasan rumus waktu paruh peluruhan aktivitas radioaktif yang disertai contoh cara menghitung waktu paruh. Terima kasih sudah mengunjungi idschool(dot)net,semoga bermanfaat!
Baca Juga: Hukum Bernoulli pada Gaya Angkat Saya Pesawat Terbang
